

近日,由河南省教育厅举办的2020年河南省高等职业教育技能大赛圆满落下帷幕。我校电子电气工程学院两支参赛队代表学校参赛,分别获得“机器人系统集成”赛项二等奖,“集成电路开发及应用”赛项三等奖。
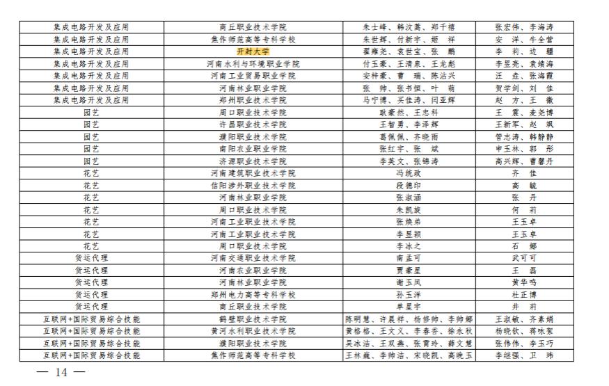
电子电气工程学院近年来积极选拔学生组建技术社团,全力备战和参加各类大赛。赛前,学校领导高度重视该项赛事,学院组织学生积极备战,选派有大赛指导经验的老师对同学们开展实践技能指导。比赛中,我校选手经过程序设计、系统安装、硬件调试等环节,最终,电气学院张会杰、杨龙飞、逯再壮同学获得“机器人系统集成”赛项二等奖,翟雍尧、袁世宝、张鹏同学获得“集成电路开发及应用”赛项三等奖的好成绩。电气学院教师邓娜、王连枝、李莉、边疆分别获得“优秀指导教师”荣誉称号。
通过此次比赛,充分体现了我校学生优秀的专业水平和专业素养,也展现了我校教师的专业教学水平,达到了“以赛促学、以赛促训、以赛促建”的目的,促进了学校高水平专业群的建设和发展。

